12月26日,国家卫生健康委发布公告,将新型冠状病毒(severe acute respiratory syndrome coronavirus 2, SARS-CoV-2)感染调整为“乙类乙管”,并要求县级以上医疗机构应按照三个月的日常使用量动态准备SARS-CoV-2感染相关中药、抗SARS-CoV-2小分子药物、解热和止咳等对症治疗药物。
阿兹夫定是我国首个获批上市的口服抗SARS-CoV-2小分子药物,已在多项国际多中心临床研究中展示出良好的疗效及安全性。近日,一项在巴西开展的阿兹夫定用于SARS-CoV-2轻、中度感染患者的临床试验预印本已发布,在此,我们将针对该项研究的临床结果展开解读,共同探讨阿兹夫定的疗效与安全性。
阿兹夫定抗SARS-CoV-2机制明确
可有效抑制病毒复制
2022年7月,阿兹夫定获得国家药监局紧急附加条件批准,成为中国紧急批准授权使用的唯一一款国产新冠口服药。2022年8月9日,国家卫生健康委办公厅、国家中医药局办公室将阿兹夫定纳入《新型冠状病毒肺炎诊疗方案(第九版)》。2022年12月7日,阿兹夫定被纳入广东省药学会最新版新冠肺炎抗病毒治疗临床药学指引。阿兹夫定是一种广谱RNA病毒抑制剂,能特异性作用于SARS-CoV-2聚合酶 (RdRp),在SARS-CoV-2的RNA合成过程中嵌入病毒RNA,从而抑制SARS-CoV-2复制,达到治疗SARS-CoV-2感染的作用。

阿兹夫定的作用机制
用于SARS-CoV-2轻、中度感染患者
阿兹夫定疗效显著、安全可耐受
1.阿兹夫定片用于治疗SARS-CoV-2轻度感染患者的前瞻性、随机、双盲、安慰剂对照的安全性和有效性临床试验纳入312患者,共281例患者完成治疗,旨在评估阿兹夫定1mg片剂对比与安慰剂在SARS-CoV-2轻度感染患者中的临床疗效和安全性。WHO临床进展量表:两组之间初始评分(p=0.999)和最终得分(p=0.700)无显著差异。阿兹夫定受试者在临床出院时1分的比例为2.0%,98%的受试者0分。安慰剂组,2.2%患者临床出院时1分,97.8%患者0分。
阿兹夫定可显著缩短轻度感染患者核酸转阴时间:第一次核酸转阴时间:与安慰剂组相比,阿兹夫定治疗的受试者首次核酸转阴时间明显缩短(5.55天 Vs. 8.27天; P<0.001);第二次核酸转阴时间:与安慰剂组相比,阿兹夫定治疗的受试者首次核酸转阴时间明显缩短(6.70天 Vs. 9.40天; P<0.001)。阿兹夫定个体出院所需的时间明显缩短。

阿兹夫定组和安慰剂组所有受试者第一次和第二次核酸检测阴性的时间比较
数据是平均值 (SD) 红条:阿兹夫定;蓝条:安慰剂
阿兹夫定可显著减少体内病毒载量:与安慰剂组相比。用药后D3、D5和D7天观察到阿兹夫定组的病毒载量显著降低(p<0.001)。

治疗期间阿兹夫定组和安慰剂组病毒载量分析(ddPCR)
红线:阿兹夫定;蓝线:安慰剂
阿兹夫定耐受性良好:阿兹夫定组不良事件发生率与安慰剂组相似,不良事件主要与头痛(36例)、头晕(35例)、AST升高(21例)、恶心(19例)、ALT增加(14例)、D二聚体增加(11例)有关,不良事件均较快恢复正常并维持至治疗结束。阿兹夫定对轻度感染人群肝肾功能无显著影响:肾功能指标包括肌酐和血尿素氮在治疗期间与安慰剂组没有显著差异。天冬氨酸氨基转移酶,丙氨酸氨基转移酶,谷氨酰转肽酶和总胆红素值在正常范围内,药物对肝脏的耐受性良好。
治疗期间阿兹夫定组、安慰剂组肾脏和肝脏标志物的动态变化
数据为中位数(SD)红线:阿兹夫定;蓝线:安慰剂
2.阿兹夫定片用于治疗SARS-CoV-2中度感染患者的一项随机、双盲、安慰剂对照的安全性和有效性临床试验
研究设计:
纳入180例患者,172例完成治疗,旨在评价阿兹夫定对比安慰剂在SARS-CoV-2 中度感染患者中的疗效和安全性。

研究结果:
阿兹夫定显著改善中度感染患者临床状态
WHO临床进展量表:出院时阿兹夫定组评分为0.02±0.15,对照组评分为0.11±0.31,两组差异有统计学意义(P=0.024)
症状改善:用药后第1天、第2天和第3天,阿兹夫定可显著改善患者体温恢复时间(<37.6℃ 腋下)和寒颤,且可缩短发热持续时间。

阿兹夫定可显著缩短中度感染患者核酸转阴时间:第一次核酸转阴时间:与安慰剂组相比,阿兹夫定组核酸第一次转阴时间明显缩短(6.24 Vs. 7.94天,P=0.002);第二次核酸转阴时间:与接受安慰剂治疗的受试者(8.89 天)相比,接受阿兹夫定治疗的受试者连续转阴的时间显著缩短(7.73 天;p=0.028)。

阿兹夫定组和安慰剂组所有受试者第一次和第二次核酸检测阴性的时间比较
数据是平均值 (SD) 红条:阿兹夫定;蓝条:安慰剂
用药后病毒载量下降显著:用药后3天、5、7、9、11天病毒载量较对照组显著降低。

治疗期间阿兹夫定组和安慰剂组病毒载量分析(ddPCR)
红线:阿兹夫定;蓝线:安慰剂
阿兹夫定耐受性良好:阿兹夫定组和安慰剂组不良事件率无差异,不良事件主要有谷氨酰转肽酶(GGT)升高13例、丙氨酸氨基转移酶(ALT)升高45例、天门冬氨酸氨基转移酶(AST)升高10例,1级头痛8例,不良事件均较快恢复正常并维持至治疗结束。研究中观察到的不良反应与其他抗病毒药物出现的不良反应相同,没有观察到非预期不良反应。
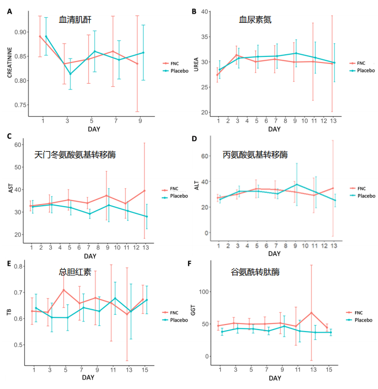
阿兹夫定对中度感染人群肝肾功能无显著影响:阿兹夫定耐受良好,肾脏和肝脏损伤阿兹夫定组与对照组无显著性差异。

治疗期间阿兹夫定组、安慰剂组肾脏和肝脏标志物的动态变化
数据为中位数(SD)红线:阿兹夫定;蓝线:安慰剂
上述研究结果表明,阿兹夫定可缩短轻、中度SARS-CoV-2感染患者的核酸转阴时间、加快病毒消除、显著降低病毒载量、减轻患者症状、缩短病程, 且安全性良好、对患者肝肾功能无显著影响。
阿兹夫定片用于暴露后预防SARS-CoV-2感染的临床试验近日在菲律宾获批开展。据最新消息,12月29日,阿兹夫定在菲律宾的首例受试者随机入组成功,且已服药完毕。此次临床研究为一项评估阿兹夫定对比安慰剂,在有症状SARS-CoV-2感染者的家庭密切接触者中预防SARS-CoV-2感染的有效性和安全性的随机、双盲、安慰剂对照II/III期临床研究。期待该研究可以提供更多可靠的循证医学证据,为SARS-CoV-2感染的“防治攻坚战”再添“有效保护盾”。
参考文献:
Paula Cabral et al. 2022, PREPRINT (Version 1) available at Research Square.